
This sensor is designed to measure the proportion of oxygen in exhaust gases of automotive engines (gasoline or Diesel).
The wide band lambda sensor LSU ADV is a planar ZrO2 dual cell limiting current sensor with integrated heater. Its monotonic output signal in the range of lambda 0.65 to air makes the LSU ADV capable of being used as a universal sensor for lambda 1 measurement as well as for other lambda ranges.
The LSU ADV has no trimming resistor inside the connector what results in just 5 connector pins. Compared to LSU 4.9, the LSU ADV has a wider working temperature range.
LSU ADV operates only in combination with a special evaluation unit used in lambda control unit LT4 ADV. You’ll find this unit and more on our homepage at Electronics/Sensor Interfaces.
- Downloads
- Features
- Application
- Technical Specifications
- Installation Notes
- Ordering Information
- Dimensions
- Legal Restrictions
Downloads
Features
- Application: lambda 0.65 to ∞
- Exhaust gas temperature: 930°C (1,030 for a short time)
- Hexagon temperature: 650°C
- Thread: M18x1.5
- Weight w/o wire: 75 g
Application
Application | lambda 0.65 to ∞ |
Fuel compatibility | gasoline/Diesel/E85 |
Exhaust gas pressure | ≤ 2.5 bar (higher with decrease accuracy) |
Exhaust gas temperature (operating) | ≤ 930°C |
Max. exhaust gas temperature for short time | ≤ 1,030°C |
Hexagon temperature (operating) | ≤ 650°C |
Max. hexagon temperature for short time | ≤ 700°C |
Max. temperature difference between hexagon and welding seam | ≤ 330°C |
Wire and protective sleeve temperature | ≤ 250°C |
Connector temperature | ≤ 140°C |
Storage temperature range | -40 to 100°C |
Max. vibration (stochastic peak level) | 300 m/s2 |
Technical Specifications
Mechanical Data
Weight w/o wire | 75 g |
Thread | M18x1.5 |
Wrench size | 22 mm |
Tightening torque | 40 to 60 Nm |
Electrical Data
Power supply H+ nominal | 7.5 V |
System supply voltage | 10.8 V to 16.5 V |
Heater power steady state | 8.7 W |
Heater control frequency | ≥ 100 Hz |
Nominal resistance of Nernst cell | 300 Ohm |
Max current load for Nernst cell | ≤ 80 µA |
Switch-on time | ≤ 5 s |
Characteristic
Signal output | IP meas | ||
Accuracy at lambda 0.8 | -0.652 ± 0.032 mA | ||
Accuracy at lambda 1 | -0.018 ± 0.008 mA | ||
Accuracy at lambda 1.7 | 0.515 ± 0.022 mA | ||
I P [mA] | lambda | U A [V], | U A [V], |
-1,38000 | 0,650 | 0,048 | 0,817 |
-1.11000 | 0.700 | 0.332 | 0.950 |
-0.88000 | 0.750 | 0.574 | 1.064 |
-0.65000 | 0.800 | 0.816 | 1.178 |
-0.47500 | 0.850 | 1.000 | 1.265 |
-0.37000 | 0.880 | 1.111 | 1.317 |
-0.30000 | 0.900 | 1.184 | 1.351 |
-0.16000 | 0.950 | 1.332 | 1.421 |
-0.07600 | 0.980 | 1.420 | 1.462 |
-0.04800 | 0.990 | 1.449 | 1.476 |
-0.02000 | 1.000 | 1.479 | 1.490 |
0.01167 | 1.030 | 1.512 | 1.506 |
0.03278 | 1.050 | 1.534 | 1.516 |
0.06444 | 1.080 | 1.568 | 1.532 |
0.08556 | 1.100 | 1.590 | 1.542 |
0.17000 | 1.180 | 1.679 | 1.584 |
0.23080 | 1.260 | 1.743 | 1.614 |
0.36000 | 1.430 | 1.879 | 1.678 |
0.40148 | 1.500 | 1.922 | 1.699 |
0.52000 | 1.700 | 2.047 | 1.758 |
0.54740 | 1.780 | 2.076 | 1.771 |
0.77000 | 2.430 | 2.310 | 1.881 |
1.40000 | 5.000 | 2.973 | 2.193 |
Please note: UA is not an output signal of the lambda sensor, but the output of the evaluation circuit. Only IP correlates with the oxygen content of the exhaust gas. Amplification factor v=17 is typically used for lean applications (lambda>1), amplification factor v=8 is typically used for rich applications (lambda<1). | |||
Heater Strategy

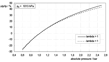
Pressure Compensation

Connectors and Wires
LSU ADV with automotive connector | |
Connector | 1 928 404 669 |
Mating connector | F02U.B00.725-01 |
Pin 1 | IP/APE |
Pin 2 | VM/IPN |
Pin 3 | Uh-/H- |
Pin 4 | Uh+ / H+ |
Pin 5 | nc |
Pin 6 | UN/RE |
Wire length L | 95.0 cm |
Please specify the required wire length with your order. | |
Sleeve | fiber glass / silicone coated |
Various motorsport and automotive connectors are available on request. | |
Installation Notes
This lambda sensor operates only in combination with a special evaluation unit used in lambda control unit LT4 ADV. You’ll find this unit and more on our homepage at Accessories/Expansion Modules. |
The lambda sensor should be installed at a point which permits the measurement of a representative exhaust-gas mixture, which does not exceed the maximum permissible temperature. |
Install at a point where the gas is as hot as possible. |
Observe the maximum permissible temperature. |
As far as possible install the sensor vertically (wire upwards). |
The sensor is not to be fitted near to the exhaust pipe outlet, so that the influence of the outside air can be ruled out. |
The exhaust-gas passage opposite the sensor must be free of leaks in order to avoid the effects of leak-air. |
Protect the sensor against condensation water. |
The sensor is not to be painted, nor is wax to be applied or any other forms of treatment. Use only the recommended grease for lubricating the thread. |
Please find further application hints in the offer drawing at our homepage. |
Safety Note
The sensor is not intended to be used for safety related applications without appropriate measures for signal validation in the application system. |
Ordering Information
Lambda Sensor LSU ADV
Automotive connector, wire length 95 cm
Order number: 0258.027.010
Lambda Sensor LSU ADV
Motorsport connector, wire length customer specific (max. 90 cm)
Order number: F02U.V01.861-01
Lambda Sensor LSU ADV pre Turbo
Automotive connector, wire length 65 cm
Order number: 0258.027.00F
Lambda Sensor LSU ADV pre Turbo
Motorsport connector, wire length 33 cm
Order number: F02U.V02.908-02
Dimensions


Legal Restrictions
Generally blocked are direct and indirect business involving high risk destinations, including Russia, Belarus, Cuba, Iran, North Korea, Syria, Libya, Afghanistan, and certain non-governmental controlled Ukrainian regions. This list may change as geopolitics evolve.
